近日,物电学院郭海教授课题组在新型多模光学测温材料领域取得重要进展,相关成果发表在国际知名期刊Chemical Engineering Journal上。该期刊属于工程技术类一区TOP期刊,影响因子为10.652。浙江师范大学2018级研究生蒋云成为论文的第一作者,郭海教授为论文的通讯作者。浙江师范大学为论文的唯一单位。课题受到了国家自然科学基金面上项目和浙江省自然科学基金重点项目的资助。

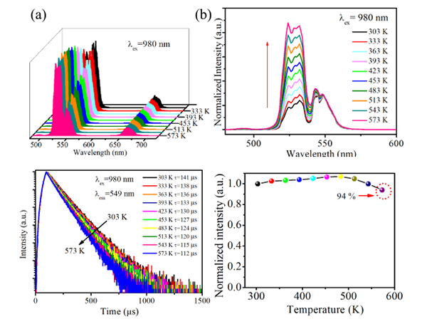
课题组利用高温固相法成功制备了Yb3+,Er3+掺杂的双钙钛矿型Ca2MgWO6荧光粉。对Ca2MgWO6:Er3+,Yb3+荧光粉的结构、形貌和发光性能进行了详细的研究。在980 nm激光激发下,所有Er3+离子掺杂荧光粉都存在531、549和661 nm三个强烈上转换发射。当加入敏化剂Yb3+离子后Er3+离子的UC发射强度约增强了102倍。同时,在单一发光中心(Er3+)里实现了三种不同模式的光学温度测量。这三种温度测量模式包括Er3+离子热耦合能级(2H11/2/4S3/2)的荧光强度比测温、非热耦合能级(2H11/2/4F9/2)的荧光强度比测温以及4S3/2能级的荧光寿命测温。它们的最大相对灵敏度分别为0.92% K-1 (303 K)、0.47% K-1 (303 K)和0.11% K-1 (573 K)。并且Ca2MgWO6:Er3+,Yb3+荧光粉具有良好的热稳定性,即使温度达到573 K,整体发光强度仍保持室温下的94%。Ca2MgWO6:Er3+,Yb3+荧光粉的高温度灵敏度和热稳定性等优点决定了它在光学温度测量方面具有潜在的应用前景。项目成果将为今后多模自校准光学温度测量的设计和研究提供一个新的思路。
郭海教授课题组的研究领域为光学材料的物理问题及固体发光。在微晶玻璃的设计、荧光机理、温度传感与闪烁体应用探索,上转换材料发光机理,玻璃中Ag成分的发光来源及能量传递,白光LED光转换材料等方面开展工作。在Opt. Lett.,Opt. Expres,J. Mater. Chem. C,Sens. Actuators B Chem.,Chem. Eng. J.,J. Am. Ceram. Soc.等刊物上发表第一作者(或通讯作者)SCI收录论文100余篇(二区以上70篇)。被引用3900余次,单篇最高引用400余次,H 因子为36。
郭海教授主持国家自然科学基金3项、浙江省基金3项(含省重点1项);获浙江省自然科学奖三等奖1项(排名第一),重庆市自然科学奖三等奖1项(排名第二);担任陶瓷类国际著名期刊J. Am. Ceram. Soc.副编辑,《中国稀土学报》《发光学报》青年编辑,中国硅酸盐学会特种玻璃分会理事,中国稀土学会光电材料与器件专业委员会理事等学术兼职。年审稿约100篇。
郭海教授已指导毕业硕士研究生近30名,其中4名获省优秀毕业生称号,10名获校优秀毕业生称号。4名毕业生在华南理工大学发光材料与器件国家重点实验室攻读博士学位,1名毕业生在澳大利亚The University of Adelaide攻读博士学位(全额奖学金)。5人博士毕业后分别在浙江师大、宁波大学、曲阜师大工作或在德国、澳大利亚从事博士后研究,工作的三位博士均顺利获批国家自然科学基金青年项目。
编辑:赵菡婧

