近期,浙师大生化学院植物水分生理生态学研究团队在植物学顶级学术期刊New Phytologist (IF= 8.512)上发表题为“The hydraulic architecture of an arborescent monocot: ontogeny‐related adjustments in vessel size and leaf area compensate for increased resistance”的研究论文。该团队教师杨冬梅为第一作者,彭国全为通讯作者,2018级硕士研究生张银霜、周丹参与了相关研究。浙江师范大学为唯一通讯单位。
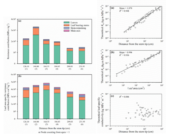
该研究工作通过测定不同高度青皮竹(Bambusa textilis)植株茎杆不同位置(即距顶端不同距离)的导管直径和植株各组成部分的水分运输阻力,发现无次生生长的竹子具有与有次生生长的木本双子叶植物相似的水流阻力分布模式,并且木质部导管由茎尖向基部按一定比例指数变宽,从而使植株高度生长过程中单位叶面积的导水率保持恒定。这一结果表明,无次生生长的树状单子叶植物,可以通过改变导管大小来调节水力学性状的变化,使其与叶面积的变化相协调,从而保持植株在生长过程中具有恒定的水分运输效率,各部位的叶片都能获得水分供应。该结果支持了“植物在生长过程中通过构建特定的水力系统来保持单位叶面积的导水率恒定是自然选择的结果”这一假说;并预示采用同一植株不同位置的茎段测得的植物抗栓塞能力会有很大的差别,只有采用距茎尖距离对取材位置进行标准化的植物栓塞抗性测定,在不同物种间才更具有可比性。New Phytologist副主编Jarmila Pittermann教授评价该研究成果对扩展维管异速生长理论具有重要贡献。

青皮竹地上部分不同部位的水流阻力分布情况(左侧);
基于椭圆形导管计算的理论导水率与距茎顶端距离(a)、叶片面积(b)之间的关系,
以及单位叶面积的导水率与距茎顶端距离之间的关系(c)
植物水分生理生态学研究团队自2018年加拿大皇家科学院院士Melvin Thomas Tyree教授受聘浙师大开始筹建,实验室2019年开始投入使用以来,已在植物水分生理生态研究领域取得多项重要研究进展,前期在植物学权威期刊Journal of Experimental Botany (IF=5.908)发表了2篇相关研究论文。上述研究成果浙师大均为第一作者和唯一通讯作者单位。研究工作得到国家自然科学基金面上项目和浙江省自然科学基金项目资助。
编辑:赵菡婧

