近日,浙江师范大学数学科学学院刘洋教授与其博士生陈晓英和许君雁,以及东南大学卢剑权教授和中南大学国家顶尖人才桂卫华合作的论文“Stability of time-delay systems with delayed impulses: average impulsive estimation approach”和“Stability of stochastic time-delay systems involving delayed impulses”分别被SIAM Journal on Control and Optimization (SICON)期刊和Automatica期刊以长文形式录用。
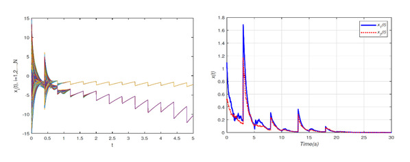
由于脉冲信号在数字采样和传输过程中不可避免地会出现时延现象,带有延迟脉冲的非线性系统稳定性问题近年来受到了许多学者的关注和研究。值得注意的是,离散动态中的延迟对系统的稳定性起着双重作用,即脉冲中的延迟可能会使原来不稳定的系统变得稳定,也可能会使原来稳定的系统失稳。基于平均驻留时间的概念,刘洋教授课题组首次提出了平均脉冲估计和平均随机延迟的概念,利用混杂系统理论和随机微分方程的分析方法,得到了若干更具弹性的稳定性判据,为系统稳定性问题分析给出了新的研究思路。

基于平均脉冲估计和平均随机延迟的两组系统状态的数值模拟
SICON和Automatica属于控制领域的三大顶刊。浙江师范大学为两篇论文第一完成单位和通讯单位。该研究工作得到了国家自然科学基金、浙江省自然科学基金杰出青年基金、浙江省青年英才项目的资助。
刘洋课题组主要从事系统控制理论研究,近年在SIAM J、Automatica、IEEE汇刊和中国科学等国内外期刊发表论文100余篇,出版专著2部。课题组近年来承担国家自然科学基金项目5项,省级项目10余项(含杰青项目1项)。课题组成员入选科睿唯安全球高被引科学家、爱思唯尔中国高被引学者、省高校领军人才培养计划多名。
编辑:清泉

