近日,化材学院朱钢国/郑汉良课题组在综合性期刊Nature Communications(自然通讯)在线发表了题为“Tetrafluoroisopropylation of alkenes and alkynes enabled by photocatalytic consecutive difluoromethylation with CF2HSO2Na”的研究论文。
氟原子的引入可以改变分子的构象、脂溶性、酸性和生物活性,广泛应用于含氟药物和新材料研发。和常见的三氟甲基和二氟甲基相比,四氟异丙基[CF2H)2CH]是近年来新兴的一类含氟基团,其不仅具有CF2H相似的氢键特性,还表现出更强的吸电子能力、蛋白结合能力和代谢稳定性,展现了优异的应用前景。由于缺乏相应的四氟异丙基化试剂,四氟异丙基化合物的合成还非常少见,因此,发展经济、高效、广谱的四氟异丙基构筑策略非常重要。

为此,课题组采用商品化的CF2HSO2Na为C1合成子,通过可见光催化的连续自由基二氟甲基化/还原脱氟历程,实现了四氟异丙基结构的直接构筑。他们首先研究了烯烃的氢四氟异丙基化反应。使用4.0当量的CF2HSO2Na,以4DPAIPN为可见光催化剂,LiOH为碱,乙腈为溶剂,蓝光照射下室温反应24小时,各种肉桂酸酯均能以良好的收率生成氢四氟异丙基化产物。其它贫电子烯烃也能顺利发生该反应。采用CF2DSO2Na为自由基前体,同样能以优秀的收率生成全氘代四氟异丙基化合物。反应也适用于生物活性分子的后期结构修饰,为含氟药物研发提供了更多可能。

在此基础上,改用4CzIPN为可见光催化剂,实现了炔酮的5-endo碳四氟异丙基化反应,一步构筑了α-四氟异丙基取代的环戊酮。各种芳基炔酮都能参与反应,以良好至优秀的产率、优异的非对映立体选择性生成相应产物。反应还能实现螺环和双环结构的精准构筑,进一步提高了其应用价值。

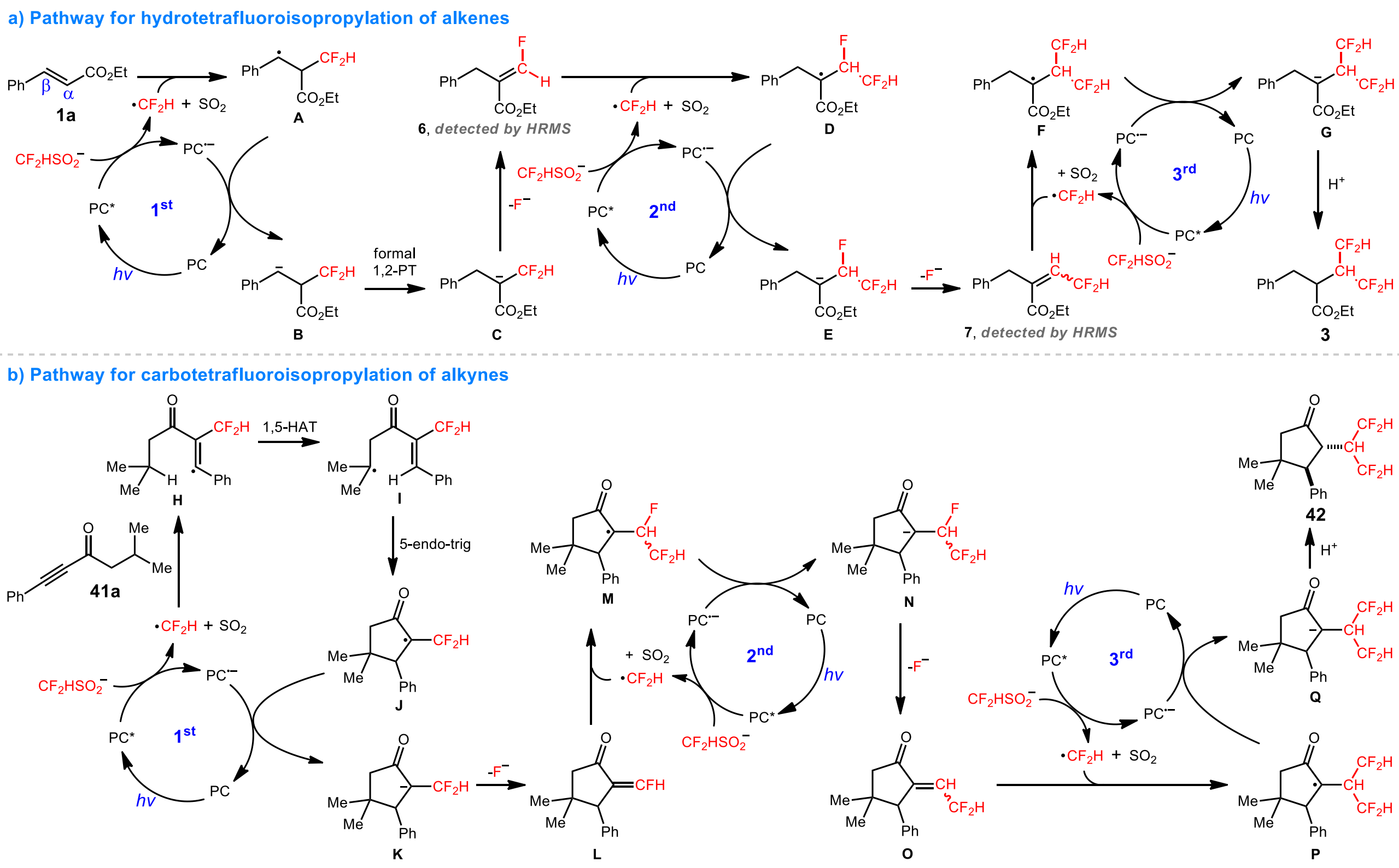
通过详细的控制实验,课题组提出了如下连续还原自由基-极性交叉历程。以肉桂酸酯1a的氢四氟异丙基化反应为例,在首个可见光催化循环中,CF2HSO2Na被激发态光催化剂氧化脱砜产生•CF2H,接着,对1a加成产生苄基自由基A。A被低价态光催化剂还原,再发生形式上的1,2-质子迁移生成α-二氟甲基取代的碳负离子B,随后,发生β-氟离子消除产生单氟烯烃6。通过类似的自由基二氟甲基化/SET还原/β-氟离子消除历程,6被转化为二氟甲基烯烃7。最后,经历自由基二氟甲基化/SET还原/质子化串联过程生成产物3。芳基炔酮的反应则由自由基二氟甲基化/1,5-氢迁移/5-endo环化串联反应启动,接着,自由基J被SET还原、再经过β-氟离子消除生成单氟烯烃K,随后发生上文类似的还原自由基-极性交叉历程产生α-四氟异丙基取代的环戊酮。

综上,化材学院朱钢国/郑汉良课题组发展了一种四氟异丙基化新策略,即以商品化的CF2HSO2Na为C1源,通过连续三次自由基二氟甲基化,实现了四氟异丙基化合物的直接构筑。该方法能够同时适用于烯烃与炔烃的四氟异丙基化,合成了一系列官能团化的四氟异丙基化合物。反应具有优秀的官能团兼容性,能适用于复杂分子的后期结构修饰。该C1至C3组装氟烷基化策略为发展新型可控氟烷基化反应提供了新思路。
浙师大化材学院硕士研究生洪雨微与博士研究生邱佳燕为论文的共同第一作者,郑汉良博士和朱钢国教授为论文的共同通讯作者,浙师大为论文唯一完成单位。该工作得到国家自然科学基金、浙江省科技厅和浙江省自然科学基金的经费支持。
编辑:张文潇

